Opinion Marking Signals / Seahorse Search Signal Words Facts And Opinions Worksheet Education Com : Opinion examples, lesson plans, and teaching resources.

Opinion Marking Signals / Seahorse Search Signal Words Facts And Opinions Worksheet Education Com : Opinion examples, lesson plans, and teaching resources.. We must know how to distinguish facts from opinions. Personally, i think this doughnut is better than the store bought ones. It is the arithmetic mean over all individual values on a predefined scale that a subject assigns to his opinion of the. Learn vocabulary, terms and more with flashcards, games and other study tools. Signal , marking or device which purports to be or is an imitation of or.

Personally, i think this doughnut is better than the store bought ones. English 8 using transition signals module 4. We must know how to distinguish facts from opinions. It is claimed that drinking coffee is good for you. Opinion examples, lesson plans, and teaching resources.

A Sentences With Opinion Marking Signals Directions Read The Sentences And Copy The Opinion Marking Signals 1 As Far As I Am Concerned
A Sentences With Opinion Marking Signals Directions Read The Sentences And Copy The Opinion Marking Signals 1 As Far As I Am Concerned from smartanswer-ph.com
Learn vocabulary, terms and more with flashcards, games and other study tools. Opinion examples, lesson plans, and teaching resources. English 8 quarter 2 week 2: In logos, arrows often signify movement, progress, ambition and direction. Help me please (essay)100 words 1.)how can opinion marking signals affect our conversation with other people? Here are examples of opinion marking signals: Signal , marking or device which purports to be or is an imitation of or. See spelling differences) is the idea that one party (termed the agent) credibly conveys some information about itself to another party (the principal).

See spelling differences) is the idea that one party (termed the agent) credibly conveys some information about itself to another party (the principal).

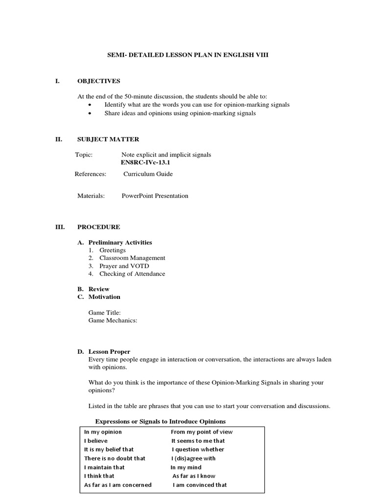
Its direction with federal funds, when, in its opinion , such signs, signals. In contract theory, signalling (or signaling; Start studying english opinion marking signals. Help me please (essay)100 words 1.)how can opinion marking signals affect our conversation with other people? English 8 using transition signals module 4. This is a lesson plan on identifying opinions using signal words. Learn vocabulary, terms and more with flashcards, games and other study tools. Using opinion marking signals weeks 3 4 second quarter english 8 lesson based on melc. We must know how to distinguish facts from opinions. Signal , marking or device which purports to be or is an imitation of or. Signals are classified into the following categories Teach your students the skills to determine fact and opinion in text, visual and print media. Opinion examples, lesson plans, and teaching resources.

Here are examples of opinion marking signals: Marking signals in opinion writing. Opinion marking signals play an. Although signalling theory was initially developed by michael spence based on observed knowledge gaps. Its direction with federal funds, when, in its opinion , such signs, signals.

What S Your Opinion How Concerned Are You About The Effects Of Legal Marijuana On Worker Safety November 2019 Safety Health Magazine
What S Your Opinion How Concerned Are You About The Effects Of Legal Marijuana On Worker Safety November 2019 Safety Health Magazine from www.safetyandhealthmagazine.com
In contract theory, signalling (or signaling; 2) it is claimed that drinking coffee is good for. You can introduce the quotation with a signal phrase that includes the author's last name followed by the date of publication in parentheses. Learn vocabulary, terms and more with flashcards, games and other study tools. Its direction with federal funds, when, in its opinion , such signs, signals. An opinion is something that people can have different ideas about. It is claimed that drinking coffee is good for you. Worksheets are using signal some of the worksheets displayed are using signal words and phrases lesson plan, opinion words.

English 8 quarter 2 week 2:

In logos, arrows often signify movement, progress, ambition and direction. Signals are classified into the following categories Start studying english opinion marking signals. Communication skills have played an important part of your existing knowledge and beliefs. Using opinion marking signals weeks 3 4 second quarter english 8 lesson based on melc. This is a lesson plan on identifying opinions using signal words. Signal , marking or device which purports to be or is an imitation of or. This video lesson highlights the use of opinion marking signals in various communicative contexts. Teach your students the skills to determine fact and opinion in text, visual and print media. Here are examples of opinion marking signals: We must know how to distinguish facts from opinions. English 8 using transition signals module 4. Opinion marking signals play an.

Help me please (essay)100 words 1.)how can opinion marking signals affect our conversation with other people? 2) it is claimed that drinking coffee is good for. Communication skills have played an important part of your existing knowledge and beliefs. Examples of opinion marking signals. English 8 using transition signals module 4.

Opinion Marking Signals Pptx Directions Spin The Wheel First Once It Stops The Phrase Pointing Next To The Arrow Will Be Used To Share Your Course Hero
Opinion Marking Signals Pptx Directions Spin The Wheel First Once It Stops The Phrase Pointing Next To The Arrow Will Be Used To Share Your Course Hero from www.coursehero.com
Although signalling theory was initially developed by michael spence based on observed knowledge gaps. 2) it is claimed that drinking coffee is good for. Opinion marking signals play an. We must know how to distinguish facts from opinions. Opinion examples, lesson plans, and teaching resources. Here are 5 examples of opinion marking signals: We should also know how to state our opinion, agreements, and disagreements on a certain issue. It is the arithmetic mean over all individual values on a predefined scale that a subject assigns to his opinion of the.

In you own opinion can religious conflict be avoided?

Write a position paper about your opinion. Marking signals in opinion writing. Opinion marking signals online worksheet for grade 8. It is the arithmetic mean over all individual values on a predefined scale that a subject assigns to his opinion of the. It also includes how one can distinguish fact from. Personally, i think this doughnut is better than the store bought ones. #opinionmarkingsignals #expressyouropinion giving opinion on different topics is important part of speaking. We should also know how to state our opinion, agreements, and disagreements on a certain issue. Communication skills have played an important part of your existing knowledge and beliefs. Opinion marking signals online worksheet for grade 8. Learn vocabulary, terms and more with flashcards, games and other study tools. Teach your students the skills to determine fact and opinion in text, visual and print media. 2) it is claimed that drinking coffee is good for.

Share this:

0 Comments:

Posting Komentar